Rotating Turbulence Tamed With Lab Hurricane

Okinawa Institute of Science and Technology Graduate University

From stirring milk in your coffee to fearsome typhoon gales, rotating turbulent flows are everywhere. Yet, these spinning currents are as scientifically complex as they are banal. Describing, modelling, and predicting turbulent flows have important implications across many fields, from weather forecasting to studying the formation of planets in the accretion disk of nascent stars.

Two formulations are at the heart of the study of turbulence: Kolmogorov's universal framework for small-scale turbulence, which describes how energy propagates and dissipates through increasingly small eddies; and Taylor-Couette (TC) flows, which are very simple to create yet exhibit extremely complex behaviors, thereby setting the benchmark for the study of the fundamental characteristics of complex flows.

For the past many decades, a central contradiction between these potent formulations has plagued the field. Despite extensive experimental research and despite being found universal to almost all turbulent flows, Kolmogorov's framework has apparently failed to apply to turbulent TC flows.

But now, after nine years developing a world-class TC setup at the Okinawa Institute of Science and Technology (OIST), researchers have finally resolved this tension by conclusively demonstrating that, contrary to the prevailing understanding, Kolmogorov's framework does apply universally to the small scales of turbulent TC flows - precisely as predicted. Their findings are now published in Science Advances. "The problem has long stood out like a sore thumb in the field," says Professor Pinaki Chakraborty of the Fluid Mechanics Unit at OIST, who led the study. "With this discrepancy solved, and with the inauguration of the OIST-TC setup, we have set a new baseline for studying these complex flows."

Photo of complicated, scientific instrumentation: a square frame surrounding another square frame, within which stands a black cylinder.
The OIST Taylor-Couette flow experimental setup, or OIST-TC, nine years in the making. The central cylinder measures about 60 cm in height, capable of spinning thousands of rpm to produce highly turbulent TC flows in a completely closed system, with novel innovations accounting for motor vibrations, cooling, and more.
© Butcher et al., (2024) Flow 4 E30

Universality lost in the search for a power law in Taylor-Couette flows

Taylor-Couette flows are very simple to create, appearing in closed flows between two independently rotating cylinders. They are also extremely complex, exhibiting a wide range of different turbulent behaviors. Notably, these flows lead to the formation of rotating, turbulent vortices called Taylor rolls - think of the vertical swirling currents of air in a typhoon that is itself rotating horizontally - the analysis of which have helped establish several core assumptions that are central to the field of fluid dynamics today.

In 1941, the influential mathematician Andrey Kolmogorov published a short paper with an elegant formulation on the complexity of turbulent fluids, wherein he described it as an idealized energy cascade. "If you stir a pool of water with a big spoon," explains Prof. Chakraborty, "you are adding energy to the water as movement in the form of a large vortex. This vortex splits into smaller and smaller eddies, until finally dissipating as heat. While easy to observe, it was extremely difficult to describe this cascade mathematically - until Kolmogorov."

However, while Kolmogorov's celebrated -5/3rd law has been found universal across virtually all turbulent flows, the important TC flows have apparently evaded his framework. Despite many experiments over the past decades, the findings have repeatedly failed to fit the small-scale universality that the -5/3rd law predicts.

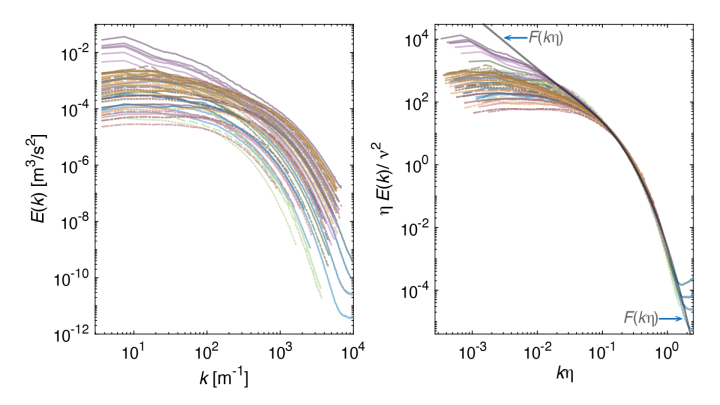
Two graphs side by side. The left graph shows a bundle of separate lines, whereas these lines collapse into one in the middle of the right graph, peeling off only at the extreme ends of the X axis.
Left graph follows the conventional approach of plotting the energy spectrum, E(k), where energy is a is distributed across different eddy sizes represented by the wavenumber k. The wavenumber is inversely proportional to eddy size - large k corresponds to small eddies.

The inertial range refers to the scale of eddies that are smaller than the largest vortices - those spanning the full width of the container - but still larger than the smallest eddies where energy is lost as heat. Kolmogorov predicted that within the inertial range, the energy spectrum is proportional to eddy size, with energy decreasing at a constant of rate of -5/3: (E(k)∝k^{-5/3}). The celebrated "-5/3rd power law" has been found universal across virtually all turbulent flows - with the frustrating exception of TC flows. As is seen on the graph, most of the energy spectra do not follow Kolmogorov's power law.

Right graph shows the same spectra rescaled by Kolmogorov's general law, from which the -5/3rd law is derived, and which goes beyond the inertial range to include scales where energy dissipates into heat. Here, Kolmogorov predicted that energy spectra, rescaled using viscosity v and the smallest scale of motion η, become the universal function F(kη) at the small scales. The collapse of the rescaled data onto the universal curve F(kη), shown in gray, peeling off only at the extreme ends, demonstrates the small-scale universality of Kolmogorov's framework across turbulent flows.

© Barros et al., 2025

Universality regained through data collapse

The inconsistency has long bothered Prof. Chakraborty and other physicists alike. For as he puts it, "how can Kolmogorov's power law be universal if it doesn't apply to one of the most important flow regimes in fluid mechanics?" This 'ugliness' spurred the development of a new experimental setup at OIST that, while simple in principle, took nine years of engineering ingenuity to work, owing to the difficulty of housing precise sensors within a cylinder spinning at thousands of rpm, surrounded by liquid cooled to a constant temperature encased in another spinning cylinder, all capable of producing turbulent flows at Reynolds numbers - a measure of disorder in turbulent flows - up to 106, among the highest achieved in the world.

Spinning liquid in the OIST-TC flow setup at different levels of turbulent disorder measured in Reynolds number (Rei). Taylor rolls - rows of vortices that are themselves rotating - are clearly visible in the post-processed footage, where the previous frame has been subtracted from the present.
© Butcher et al., (2024) Flow 4 E30

"When we analyzed the energy spectra measured through the new OIST-TC setup using the conventional approach, we indeed found that Kolmogorov's power law does not fit. And that's when we decided to look beyond the celebrated -5/3rd law, which only applies to the inertial range," explains Dr. Julio Barros, first author of the paper. The team broadened the scope from the inertial range to the general domain of small-scale flows, including the smallest eddies that dissipate energy into heat. At these scales, Kolmogorov predicted that when accounting for dissipative effects, the rescaled energy spectra collapse onto a single, universal curve F(kη). And for the team, applying this comparatively less-studied aspect of Kolmogorov's framework paid off: "Rescaling the measurements by the general theory yielded the universality that Kolmogorov predicted. The framework holds."

This elegant solution to the inconsistency of universality in Kolmogorov's theory unlocks the potential of turbulent TC flows as powerful tools for studying theoretical and applied fluid mechanics, especially in conjunction with the new OIST-TC setup. Prof. Chakraborty summarizes: "The beauty of TC flow setups is that they are closed systems. No pumps, no obstructions in the flow. We can study the flow of whatever liquid and additive that we desire - sediments, bubbles, polymers, and so forth. And by reconciling TC flows with Kolmogorov's theory, we now have a solid reference point."

Three images, one being a satellite photograph of a typhoon, another showing the vortex produced by a plane engine having travelled through a cloud of red smoke, and the final being a visualization of the dust around a newborn star in space.
By rehabilitating Taylor-Couette flows with Kolmogorov's small-scale universality, researchers have created a powerful baseline for the study of various phenomena involving rotational turbulence, both in theory and practice, like weather systems, engines, or planets forming around distant stars.
© Typhoon and propeller wake: NASA via Wikimedia Commons (Public Domain). Accretion disk visualization: P. Marenfeld and NOIRLab/NSF/AURA via Wikimedia Commons (CC BY 4.0)
/Public Release. This material from the originating organization/author(s) might be of the point-in-time nature, and edited for clarity, style and length. Mirage.News does not take institutional positions or sides, and all views, positions, and conclusions expressed herein are solely those of the author(s).View in full here.