6 min read
Future space missions could use quantum technologies to help us understand the physical laws that govern the universe, explore the composition of other planets and their moons, gain insights into unexplained cosmological phenomena, or monitor ice sheet thickness and the amount of water in underground aquafers on Earth.

NASA's Cold Atom Lab (CAL), a first-of-its-kind facility aboard the International Space Station, has performed a series of trailblazing experiments based on the quantum properties of ultracold atoms. The tool used to perform these experiments is called an atom interferometer, and it can precisely measure gravity, magnetic fields, and other forces.
Atom interferometers are currently being used on Earth to study the fundamental nature of gravity and are also being developed to aid aircraft and ship navigation, but use of an atom interferometer in space will enable innovative science capabilities.
Physicists have been eager to apply atom interferometry in space, both to enable new measurements for space science and to capitalize on the extended free-fall conditions found in space. This could enable researchers to achieve unprecedented performance from these quantum sensors.
These interferometers, however, require exquisitely sensitive equipment, and they were previously considered too fragile to function for extended periods without hands-on attention. The Cold Atom Lab, which is operated remotely from Earth, has now demonstrated that it is possible to conduct atom interferometry in space. The CAL Science Team has published two papers so far documenting these experimental milestones.

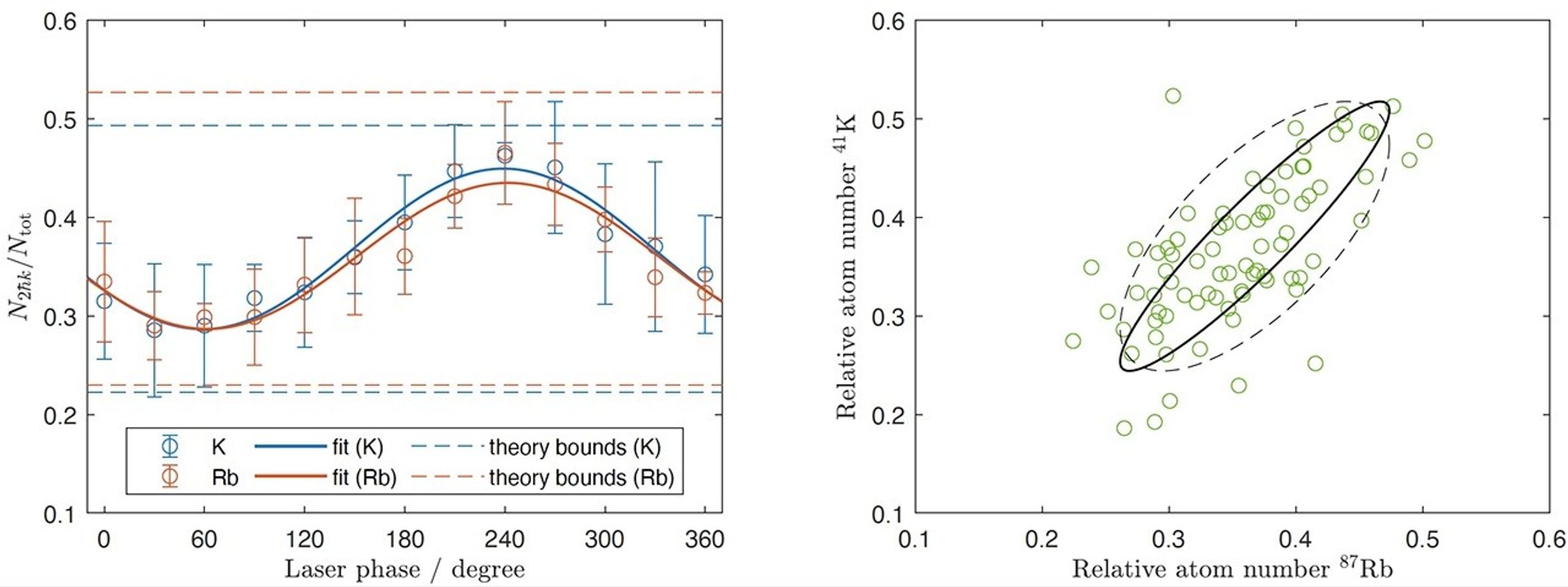
The results of the first study, published in the November 2023 issue of Nature, described the demonstration of simultaneous atom interferometry with both rubidium and potassium quantum gases for the first time in space. The dual-species atom interferometer not only exhibited robust and repeatable operation of atom interferometry in Earth orbit, but it also served as a pathfinder for future experiments that aim to use quantum gases to test the universality of free fall, a key tenet of Einstein's theory of general relativity.
In the second study, the results of which were featured in the August 2024 issue of Nature Communications, members of the science team used the CAL atom interferometer to measure subtle vibrations of the space station and to remotely measure the frequency of the atom interferometer laser- the first time ultra-cold atoms have been used to detect changes in the surrounding environment in space. This paper also reported on the demonstration of the wave-like nature of matter persisting for the longest ever freefall time (over a tenth of a second) in space.
"Reaching these milestones was incredibly challenging, and our success was not always a given," said Jason Williams, the Cold Atom Lab project scientist at NASA's Jet Propulsion Laboratory in Southern California. "It took dedication and a sense of adventure by the team to make this happen."
Space-based sensors that can measure gravity with high precision have a wide range of potential applications. They could reveal the composition of planets and moons in our solar system, because different materials have different densities that create subtle variations in gravity.
The U.S.-German GRACE-FO (Gravity Recovery and Climate Experiment Follow-on) mission is currently collecting gravity measurements using classical sensors that detect slight changes in gravity to track the movement of water and ice on Earth. A future mission using atom interferometry could provide better precision and stability, revealing even more detail about surface mass changes.
Precise measurements of gravity could also offer insights into the nature of dark matter and dark energy, two major cosmological mysteries. Dark matter is an invisible substance that makes up about 27% of the universe, while the "regular" matter that composes planets, stars, and everything else we can see makes up only 5%. Dark energy makes up the remaining 68% of the universe and is the driver of the universe's accelerating expansion.
"Atom interferometry could also be used to test Einstein's theory of general relativity in new ways," said University of Virginia professor Cass Sackett, a Cold Atom Lab principal investigator. "This is the basic theory explaining the large-scale structure of our universe, and we know that there are aspects of the theory that we don't understand correctly. This technology may help us fill in those gaps and give us a more complete picture of the reality we inhabit."
About the size of a minifridge, the Cold Atom Lab launched to the space station in 2018 with the goal of advancing quantum science by placing a long-term facility in the microgravity environment of low Earth orbit. The lab cools atoms to almost absolute zero, or minus 459 degrees Fahrenheit (minus 273 degrees Celsius). At this temperature, some atoms can form a Bose-Einstein condensate, a state of matter in which all atoms essentially share the same quantum identity. As a result, some of the atoms' typically microscopic quantum properties become macroscopic, making them easier to study.
Quantum properties can sometimes cause atoms to act like solid objects and sometimes like waves. Scientists don't yet entirely understand how the building blocks of matter can transition between such different physical behaviors, but they're using quantum technology like what's available on the Cold Atom Lab to seek answers.
In microgravity, Bose-Einstein condensates can reach colder temperatures and can exist for longer, giving scientists more opportunities to study them. The atom interferometer is among several tools in the CAL facility enabling precision measurements by harnessing the quantum nature of atoms.

Due to its wave-like behavior, a single atom can simultaneously travel two physically separate paths. If gravity or other forces are acting on those waves, scientists can measure that influence by observing how the waves recombine and interact.
"I expect that space-based atom interferometry will lead to exciting new discoveries, fantastic quantum technologies impacting everyday life, and will transport us into a quantum future," said Nick Bigelow, a professor at University of Rochester in New York and Cold Atom Lab principal investigator for a consortium of U.S. and German scientists who co-authored the studies cited above.
Designed and built at the NASA Jet Propulsion Laboratory, Cold Atom Lab is sponsored by the Biological and Physical Sciences (BPS) Division of NASA's Science Mission Directorate at the Agency's headquarters in Washington DC and the International Space Station Program at NASA's Johnson Space Center in Houston, Texas. The work carried out at the Jet Propulsion Laboratory, California Institute of Technology, was executed under a contract with the National Aeronautics and Space Administration.